上海居转户最新公示名单!10月第一批公示2524人(人才+居转户

上海积分落户网

2025-10-16

1662

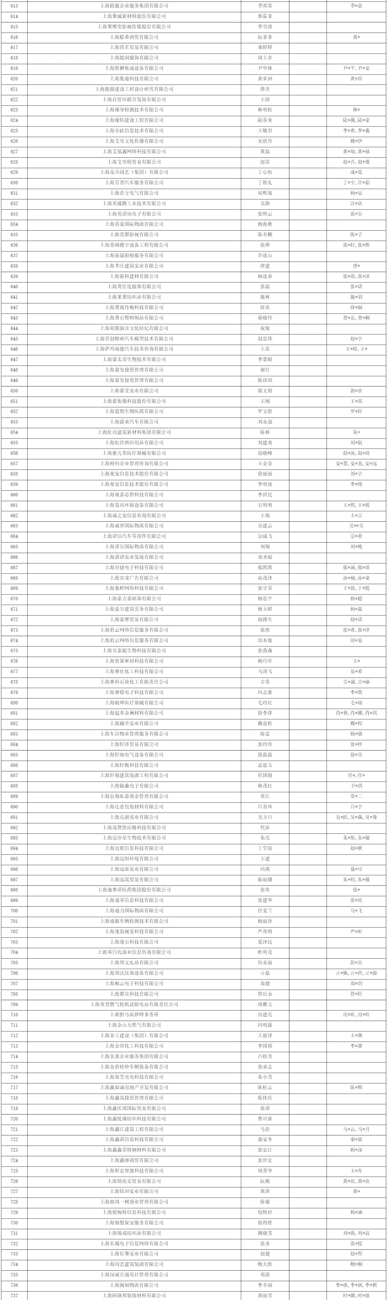
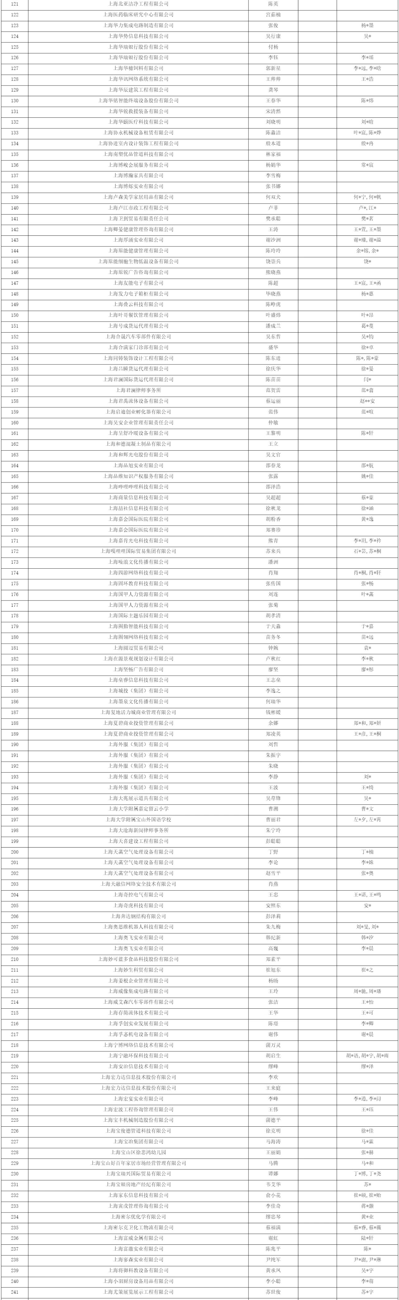
摘要:上海居转户最新公示名单出炉啦!2025年10月16日开始公示2025年10月第一批申请“居转户”和“人才引进”落户的名单!其中居转户本次共有1149人,公示时间自2025-10-16至2025-10-20,共5天。人才引进本次共有1375人(浦东新区205人、中国(上海)自由贸易试验区临港新片48人),公示时间自2025-10-16至2025-10-20,共5天。
上海居转户最新公示名单出炉啦!2025年10月16日开始公示2025年10月第一批申请“居转户”和“人才引进”落户的名单!其中居转户本次共有1149人,公示时间自2025-10-16至2025-10-20,共5天。人才引进本次共有1375人(浦东新区205人、中国(上海)自由贸易试验区临港新片48人),公示时间2025-10-16至2025-10-20,共5天

 

不确定自己是否符合上海落户条件?点击上海落户条件自测一键自查

https://www.kzix.com/zixun/6075.html
您正在申请积分落户服务站的专业服务
您的称呼

联系电话

验证码

立即获取

为了确保您的测评结果更准确, 我们申请您留下联系方式以便我们人工审核后通过电话回访告诉您准确的测评结果。*您的信息受 《隐私保护声明》保护

提交成功

您的服务申请已提交,
服务站将在1个工作日内与你沟通服务细节。
更多福利,等你解锁!
上海积分落户指南免费领
上海积分落户指南
免费领
最新最全内部资料免费领
最新最全内部资料
免费领
专业顾问一对一定制规划
专业顾问一对一
定制规划
最新资讯每天分享
最新资讯每天分享
进群不止分数!